体育馆看台设计
一、体育馆简介
体育馆是指配备有专门设备而能够进行球类、室内田径、冰上运动、体操(技巧) 、武术、拳击、击剑、举重、摔跤、柔道等项目或多项室内竞技比赛和训练的体育建筑。主要由比赛和练习场地、开台和 辅助用房及设施组成。体育馆根据比赛场地的功能可分为综合体育馆和专项体育馆,不设观众看台及相应用房的体育馆也 称为训练房。
1)体育馆建筑等级划分:
等级 | 主要使用要求 |
特级 | 举办亚运会、奥运会及世界级比赛主场 |
甲级 | 举办全国性和单项国际比赛 |
乙级 | 举办地区性和全国单项比赛 |
丙级 | 举办地方性、群众性运动会 |
2)体育馆看台规模(观众数量)设计
城市规模 | 100万人口以上城市 | 50-100万人口城市 | 20-50万人口城市 | 10-20万人口城市 |
看台座位数设计 | 4000-10000座 | 4000-6000座 | 2000-4000座 | 2000-3000座 |
注:当在特定条件下,达不到规定指标下限时,应利用规划和建筑手段来满足场馆 再使用安全、疏散、停车等方面的要求
二、体育馆整体平面形状
体育馆整体平面形状比较常见的有长方形、正方形、圆形、椭圆形,也有多角形、 其他不规则形状(如花瓣形、三角形等)。最常见的是长方形和椭圆形
1)长方形平面:长方形平面的优点是外形简洁、结构简单,场地纵向两侧看台视 线好、容量大、基本能按最佳视线位置安排座席,适用于看台边线为长方形,场地纵轴两侧或一侧为主看台的中小型馆。

2)圆形、椭圆形平面:主要适用于大中型体育馆。
示图如下:

三、看台视线设计
1)视角:观众视线与视平线之间的夹角,分为水平视角和垂直视角两种。 最佳视角是确保视线质量的重要因素。一般来说视角高度角不宜超过45度,最低不宜低于5度。水平方位角由于体育馆比赛 场地是长方形,从观众入席实测记录表明,座席视距大小,高角度的大小(楼厢高度角较堂厢高度视觉质量差)是影响观 众座席视觉质量的主要因素。

视觉质量分区图形
分区 | A | B | C | D | E | F |
视觉质量 | 很好 | 良好 | 满意 | 可以 | 较差 | 不好 |
2)视线:由观众眼睛至场地设计视点的连线。看台有可变性、观众视线 无遮挡、观众视觉质量好,优良视线座席应占90%以上。


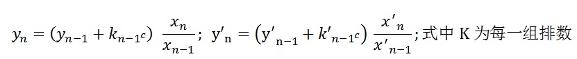
视线计算公式:

3)视距:由观众眼睛到比赛场地中被观察物体的距离。视距过远视觉的清 晰度差,视距近清晰度好,因此,球类体育馆最大视距一般不宜大于45m,最小视距不低于3m。
各赛类项目视距如下图:

四、体育馆看台座椅的设计与选择
(1)看台功能分类:
等级 | 主席台 | 包厢 | 记者席 | 评论员席 | 运动员席 | 一般观众席 | 残疾观众席 |
特级 | 有 | 有 | 有 | 有 | 有 | 有 | 有 |
甲级 | 有 | 有 | 有 | 有 | 有 | 有 | 有 |
乙级 | 有 | 无 | 兼用 | 有 | 有 | ||
丙级 | 有 | 无 | 兼用 | 有 | |||
注:1、残疾观众(轮椅)席位数可按观众席位总数的2‰计算。位置应方
便残疾观众入席及疏散;2、贵宾包厢面积每间不宜小于2m*3m.
(2)观众席位常规选择:
主席台 | 记者席 | 评论员席 | 运动员席 | 一般观众 | |
特级 | 移动扶手软椅 |
有背硬椅 | 有背硬椅 | ||
甲级 | 移动软椅 | 有背硬椅或无背方凳 | |||
乙级 | 有背软椅 | 无背方凳或无背条凳 | |||
丙级 | 有背硬椅 | ||||
(3)观众席最小尺寸
规格 席位种类 | 无背条凳 | 无背方凳 | 有背硬椅 | 有背软椅 | 活动软椅 | 扶手软椅 |
座宽(中心距)mm | 420 | 450 | 480 | 500 | 550 | 600 |
层宽mm | 720 | 750 | 800 | 850 | 1000 | 1200 |
注:1 记者席占2座2排,前排放工作台;
2 评论员席占3座2排,前排工作台;
3 看台排距指净距,如首末排遇栏杆或靠背后倾又影响应适当加大;
4 一般观众座椅高度不宜小于0.35m,且不应超过0.55m;
5 座椅应安装牢固,并便于看台清扫,室外座椅还应防止座椅面积水。
(4)座椅选择实例:
1)普通观众席固定固定座椅。
A.普通观众席座椅占据大部分席位,视造价不同, 可选用平装、侧装、立装。
下面2图分别为侧装座椅和立装座椅实例


B.普通观众席固定座椅的材质选择:一般最常用的 是中空吹塑椅,也有注塑椅,玻璃钢基本已经被淘汰。
C.一体椅和翻板椅。固定座椅视造价情况,可选用 一体椅或翻板椅。翻板椅一般价格是一体椅的价格3-4倍。
下图为体育馆固定观众席翻板椅实例:

2)普通观众席活动看台。场地的多功能使用使得活动看台比较受亲 睐。
A.按驱动方式分,可选择电动伸缩看台、手动伸缩 看台;
B.座椅的安装方式分为前置式和后置式,一般后置 式造价比较高;
C.按座椅的材质分为注塑椅、吹塑椅、软包椅。
下面为体育馆活动看台实例

3)主席台桌椅
一般采用软包椅。下图为体育馆主席台实例。

6、看台设计安全消防要求
活动看台设计和座席布局的要点:首先要方便观众的入场和出场,过道的布置和尺寸应满足消 防安全疏散需要,尽可能的使场馆土地最大化利用。观众席纵向走道之间的连续座位数目 ,室内每排不宜超过26个,当仅 有一侧走道时,座位数目应当减半。
看台的护栏高度应符合下列要求:
1、栏杆高度不应低于0.9m,再看台后部危险性较大处严禁低于1.1m
2、栏杆形式不应遮挡观众视线并保障观众安全
3、横向过道两侧至少一侧应设护栏
4、当看台坡度较大、前后排高度差超过0.5m时,其纵向国道上应加设栏杆扶手;采用无靠座椅时不宜超过10排,超过 时必须增设横向过道。

.png)