体育场看台设计
一、体育场简介
体育场是指具有体育比赛和其他表演用的宽敞的室外场地同时为大量观众提供坐席的建筑物。体育场看台座椅一般是室外露天场地,但也有看台席位被部分或者全部覆盖的情况。
1)体育馆建筑等级划分:
等级 | 主要使用要求 |
特级 | 举办亚运会、奥运会及世界级比赛主场 |
甲级 | 举办全国性和单项国际比赛 |
乙级 | 举办地区性和全国单项比赛 |
丙级 | 举办地方性、群众性运动会 |
2)体育馆看台规模(观众数量)设计
城市规模 | 100万人口以上城市 | 50-100万人口城市 | 20-50万人口城市 | 10-20万人口城市 |
看台座位数设计 | 30000-50000座 | 20000-30000座 | 15000-20000座 | 10000-15000座 |
注:当在特定条件下,达不到规定指标下限时,应利用规划和建筑手段来满足场馆再使用安全、疏散、停车等方面的要求
二、体育场看台平面布置
1)看台平面布置沿跑道边处采用直线或曲线进行,一边布置看台,常布置于西向;如为两边布置时布置在东西、东南、东北等;如为三边布置时一般布置在东西南或东南北;如为四边式(周边式)。如下图

2)看台观众席位按方位布置多少,以东西向看台为好;其中又以西看台最佳,往往把主席台设在西看台上。
3)观众座席有运动员、来宾席、贵宾席等。正规比赛场不设站席均为座席,普通股座席宽420-500mm,层宽650-700mm;主席台座席宽600mm、深850-1000mm。看台座席区一般按单元式布置,每单元内设一个出入口,约容纳1500-2500人,每层25-35人。每单元之间用≥1M宽的通道隔开,出入净宽5m左右。
4)主席台一般设在西看台上,位置宜与普通观众席分开,最好在普通座席上部,也可放在普通座席中间,在布置时应注意对左右两侧座席的视线遮挡。主席台距场地不要过远或过近,距场地视距宜在8-14以内,并有适当的高度,一般在10排以后,要求座席视线有较好的深度感。
5)运动员座席一般设在主席台两边的座席内,以便运动员出入内场和接近跑道的起点,平时为普通观众使用时宜将梯步封闭。
6)看台观众席分配:一般以东西看台为主,又以西看台为最佳。东西看台宜各占总观众数的1/3,而南北看台共占总席数1/3.
三、看台视线设计
1)视点选择:
视点选择应以场地规模 、设计标准 、运动项目为依据。常用视点位置有四种 ,每个视点的轨 迹线均与第一排观众席线平行 ,其线形一致 (如视点轨迹线是曲线 ,在第一排观众席线就是与之 平行的曲线 ,如是直线就是直线)

(1) 第一种
视点选在西直道外边线与终点线相交点 ,如图上图为六种视点及轨迹 ,不同视点产生不同看 台高度。这种视点能看清全场大部分跑道 (当然足球、回赛亦能看清) ,适用于大型在跑道外布置 田赛场地的情况 ,但看台坡度较大 ;如加大座席与视点的距离又会增加观看足球与回赛的视距。
(2)第二种
视点选在直跑道外边与体 育场短轴的交点上 ,这个视点也能看到大部分跑道 ,但对设在跑道 外侧的田赛场有遮挡 。
(3) 第三 、四种
视点选在直跑道内沿道牙处与场地短轴相交点的地面或上空 0. 5m 处。这种视点看台观众观 看田径赛遮挡较大,看足球也有遮挡,一般适用于练习场地 。如为无跑道的专用足球场地 ,可以角球点或球门处±0 为设计视点 。
2)视觉质量分区:
1) 视距:视距是视线清晰度的主要影响因素 ,视距愈近清晰度愈好 。
2) 视线方位:在水平方位,观众席愈接近场地短轴视觉质量愈好;垂直方位,观众视线与场 地成适度的夹角 ,一般在 15°- 45°之间深度感较好 。观众视平线与视点之间高度差愈小观众高度感愈好。
通常是用视线清晰度、深度感、高度感几个综合因素来衡量视觉质量的好坏,如图
体育场观众席视觉质量分区图

注:图中,等高线是以第一排观众眼睛位置高度y1=l.lm,视线升高差c值120mm,
第一排观众眼睛位置与视点间的水平距离 x1 = l8m的假定条件计算而得。
清晰度质量分析指数
距离(m) | ≤100 | 100-125 | 125-150 | 150-175 | 175-210 |
质量 | 极清晰 | 很清晰 | 清晰 | 可辨 | 看不清 |
质量等级 | A | B | C | D | |
分区指数 | 8 | 6 | 4 | 2 |
方位质量分区指数
方位等级 | A | B | C | D |
质量 | 好 | 较好 | 尚可 | 差 |
分区指数 | 4 | 3 | 2 | 1 |
视觉质量分区指数
级别 | Ⅰ | Ⅱ | Ⅲ | Ⅳ |
指数和 | 15-16 | 13-14 | 11-12 | 9-10 |
质量 | 很好 | 好 | 较好 | 差 |
以上质量分区可以用来限制观众座席的范围,用以审定看台容纳观众座席总数的比例。一般东西看台宜各占座席总数的3/10~4/10 ;而南北看台宜各占2/10~1/10。
(3) 看台剖面升高值计算
直线型剖面 :每阶升高值相同,便于施工,适用于小型体育场 。
折线型剖面 :把看台台阶分成若干组 般 3~5 个台阶为一组 ,每组内台阶升高值相等 ,而台阶组与组之间 ,每台阶升高值不相等 ,而呈折线 u 折线型剖面便于施工,看台面呈近似曲面 。适用于中型体育场 。
曲线型剖面 :其特点是每个台阶升高值不相等,看台面呈曲面 。这种形式适用于大型体育场, 但台阶间差值如果≤5mm 时,施工不便于控制,精度难于达到,最好差值能在10mm 左右。

1) 视线计算基本数据
c一视线升高差值 ,如上图所示 。
c = 120mm (平视);C= 90mm (仰视)
c=60mm (错位排列) 体育运动多是俯视
(c 值选用 120 时最好,但看台升高太多不经济 ,选 60mm 时需将座席错位排列) ;
d—看台台阶深度
(用靠背椅时为 850~1000mm ;用无靠背椅的条登时 700~850mm ) ;
e—视点高度 (坐时为 1200mm ,站时为 1600mm) ;
b一第一排观众脚下与场地地面高差 。
(对球类或田径场地 b 可为 “0 ” 或正值,对游泳场地宜比球类更大些。对体操场地宜为 “0 ” 或 为负值 ,即平视为宜) ;
x1一F 点 (选择的视点〉 距第一排观众眼睛间的水平距离 ;
y1一第一排观众眼睛与过 F 水平线间的垂直距离等于 y =b十 1. 2m ;
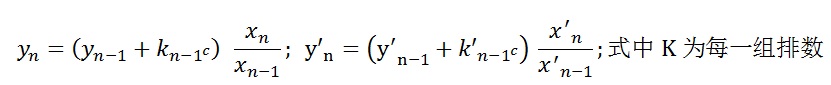
yn 一欲求那一排观众眼睛与过 F 点水平线间的垂直距离上述值之间关系如图所示。
2 ) 视线计算公式
a. 逐排升高值计算公式
Y1 是第一排观众眼睛距 F 点水平线的高度


从使用方便和安全考虑 ,每台阶高度与台阶深之比不宜大于 1 : 1. 5,其实际尺寸高不宜大于60cm,最小高度不宜小于25cm,上下台阶高度差值宜以lcm为单位,以便施工。看台视线设 计考虑到计算假设条件失真,如人体标准身高1.7m,座高 1.3m等以及运动项目和观看地面面积大小不同等因素,在实际使用时观众能自行调整角度和方位。因而只要掌握好设计基本原则就能收到较好的效果 。因此计算方法不宜过于精确 ,而给建筑施工增加不必要的难度。
3)视距:由观众眼睛到比赛场地中被观察物体的距离。视距过远视觉的清晰度差,视距近清晰度好,因此,球类体育馆最大视距一般不宜大于45m,最小视距不低于3m。
各赛类项目视距如下图:

四、体育场看台座椅的设计与选择
(1)看台功能分类:
等级 | 主席台 | 包厢 | 记者席 | 评论员席 | 运动员席 | 一般观众席 | 残疾观众席 |
特级 | 有 | 有 | 有 | 有 | 有 | 有 | 有 |
甲级 | 有 | 有 | 有 | 有 | 有 | 有 | 有 |
乙级 | 有 | 无 | 兼用 | 有 | 有 | ||
丙级 | 有 | 无 | 兼用 | 有 | |||
注:1、残疾观众(轮椅)席位数可按观众席位总数的2‰计算。位置应方便残疾观众入席及疏散;2、贵宾包厢面积每间不宜小于2m*3m.
(2)观众席位常规选择:
主席台 | 记者席 | 评论员席 | 运动员席 | 一般观众 | |
特级 | 移动扶手软椅 | 有背硬椅 | 有背硬椅 | ||
甲级 | 移动软椅 | 有背硬椅或无背方凳 | |||
乙级 | 有背软椅 | 无背方凳或无背条凳 | |||
丙级 | 有背硬椅 | ||||
(3)观众席最小尺寸
规格 席位种类 | 无背条凳 | 无背方凳 | 有背硬椅 | 有背软椅 | 活动软椅 | 扶手软椅 |
座宽(中心距)mm | 420 | 450 | 480 | 500 | 550 | 600 |
层宽mm | 720 | 750 | 800 | 850 | 1000 | 1200 |
注:1 记者席占2座2排,前排放工作台;
2 评论员席占3座2排,前排工作台;
3 看台排距指净距,如首末排遇栏杆或靠背后倾又影响应适当加大;
4 一般观众座椅高度不宜小于0.35m,且不应超过0.55m;
5 座椅应安装牢固,并便于看台清扫,室外座椅还应防止座椅面积水。
(4)座椅选择实例:
1)普通观众席固定固定座椅。
A.普通观众席座椅占据大部分席位,视造价不同,可选用平装、侧装、立装。
下面2图分别为侧装座椅和立装座椅实例


B.普通观众席固定座椅的材质选择:一般最常用的是中空吹塑椅,也有注塑椅,玻璃钢基本已经被淘汰。
C.一体椅和翻板椅。固定座椅视造价情况,可选用一体椅或翻板椅。翻板椅一般价格是一体椅的价格3-4倍。
2)主席台桌椅
一般采用软包椅。下图为体育馆主席台实例。

6、看台设计安全消防要求
体育场观众数量大,疏散时间集中,观众的安全疏散,是设计的另一个重要问题。安全疏散口分布要均匀、疏散通道应通畅,每个出人口服务面不宜过大 ,一般一个出人口 以能通行服务1000-2000人为宜。如果看台分散独立布置在两侧或四周相互之间自成系统,每个分看台疏散出人口;或通道不应少于两个,两个出人口之间应保持一定距离,一般在20m左右。
体育场控制疏散时间
容纳人数 | ≤1200 | 1200-2000 | 2000-5000 | 5000-10000 | 10000-50000 | 50000-100000 |
时间 | 4 | 5 | 6 | 6 | - | - |
疏散口布置方式


.png)